DIN EN ISO 11296-4 und die Biegemodul-Berechnung
Die DIN EN ISO 11296-4 legt heute die Anforderungen und Prüfverfahren für vor Ort härtende Schlauchliner zur Renovierung von Freispiegelabwasserleitungen fest. Bereits bei der Vorgängernorm DIN EN 13566-4 wurde im Anhang die modifizierte Durchführung des Dreipunktbiegeversuch für gekrümmte Probekörper beschrieben. Im Laufe der Revision der DIN EN ISO 11296-4 wurden bereits mit Ausgabestand 2018 einschneidende Veränderungen eingeführt, welche immense Auswirkungen auf die ermittelten Kennwerte des Biegeversuchs mit sich bringen.


Schmies.eu Vakuumsaugfässer im Anhängerformat
Vakuumsaugfässer von Schmies.eu: robust, flexibel und - auf Wunsch - auch in kippbarer Ausführung. Die clevere Alternative zum Großfahrzeug.
In den vergangenen Jahrzehnten hat sich die Ermittlung der Biegeeigenschaften, unter Abgleich produktspezifischer Vorgabewerte, als qualitätssicherndes Werkzeug von Schlauchlinerproben hinsichtlich ihrer Aushärtung etabliert. Sie dienen der Überprüfung der Validität der Kurz- und Langzeiteigenschaften (statische Tragfähigkeit, Kriechverhalten, Medienbeständigkeit etc.) des Endproduktes.
Im klassischen Sinne wird der Dreipunktbiegeversuch in der Prüfnorm DIN EN ISO 178 beschrieben. Diese bezieht sich jedoch auf flache und unverstärkte Probekörper. Für langfaserverstärkte Laminate findet streng genommen DIN EN ISO 14125 Anwendung, aber auch hier an flachen Probenkörpern. Eine direkte Anwendung auf gekrümmte Schlauchlinerproben ist demnach in beiden Fällen ungeeignet. Diesem Umstand hat sich bereits die Schlauchlinernorm für Freispiegelabwasserleitungen DIN EN 13566-4 im Jahr 2003 angenommen. Im Anhang C wird die Modifikation des Biegeversuches für gekrümmte Probekörper beschrieben. Auch die Nachfolgerin, DIN EN ISO 11296-4, übernimmt im Jahr 2011 große Teile dieser Prüfvorschrift, dort in Anhang B.
Neben Angaben zu Probekörpergeometrien und Durchführungsanweisungen, enthalten die Modifikationen der DIN EN ISO 11296-4 Anweisungen zur rechnerischen Ermittlung der wahren Auflagerstützweite L2 für gekrümmte Probekörper, hauptsächlich in Abhängigkeit von Verbundwanddicke und Durchmesser.
Der Biegemodul ist ein Materialkennwert, welcher insbesondere bei Verbundwerkstoffen, maßgeblich von den Einzelkomponenten sowie deren Anordnung im Verbund abhängt. Bei mit duroplastischen Reaktionsharzen verstärkten Werkstoffen kommen zusätzlich die Komponenten des Aushärtegrades sowie der Faser-Matrix-Haftung hinzu. Als Elastizitätsmodul (englisch auch Young’s modulus) beschreibt er im Allgemeinen die Widerstandsfähigkeit eines Werkstoffes gegenüber Verformung und gilt im linear-elastischen Bereich als Proportionalitätsfaktor (Hookesches Gesetz). Er lässt sich aus der Änderung von Spannung σ und Dehnung ε, also der Steigung im Spannungs-Dehnungs-Diagramm, ablesen. Umgemünzt in eine Formel, wird der Biegemodul gemäß Gl. 1 ausgedrückt und zeigt hier seine Abhängigkeit unter anderem von der Wanddicke h in dritter Potenz.

Abhängigkeit des Biegemoduls von der Wanddicke
Die Tatsache, dass insbesondere glasfaserverstärkte Schlauchliner einen inhomogenen Aufbau aus tragfähigen und eher unterstützenden Komponenten besitzen, hat die Normung dazu gebracht, die Wanddicke näher zu spezifizieren. Im Falle von Schlauchlinerproben ist daher für den Dreipunktbiegeversuch nicht die Gesamtwanddicke h relevant, sondern eine (möglicherweise) reduzierte Verbund- bzw. Kompositwanddicke e. So werden grundsätzlich innere und äußere thermoplastische Beschichtungen rechnerisch abgezogen, da diese zur Tragfähigkeit keinen wesentlichen Beitrag liefern.

In Abhängigkeit des Ausgabestandes der DIN EN ISO 11296-4 wurde die Begrifflichkeit, wie auch die Definition der tragfähigen Wanddicke e geändert. So definiert der Ausgabestand von 2011 den „Verbund“ em wie folgt:
„Kombination aus ausgehärtetem Harzsystem, Trägermaterial und/oder Verstärkung ausschließlich Innen- oder Außenfolien oder einer anderen Schicht aus überschüssigem Harz“ (DIN EN ISO 11296-4:2011, 3.1.5)
Innenseitige harzreiche (Verschleiß-)Schichten und/oder außenseitige harzreiche Synthesefaservliese finden daher bei glasfaserverstärkten Schlauchlinerprodukten rechnerisch keine Beachtung bei der Kennwertermittlung im Dreipunktbiegeversuch (em in Abbildung 2). Dies hatte zur Folge, dass rein auf den quasihomogen aufgebauten glasfaserverstärkten Verbund bezogene mechanische Kennwerte konstant bzw. unabhängig von der Verbunddicke sind (vgl. Abbildung 3, RHS = 0,0 mm - grüne Markierung). Dies gilt übrigens ebenfalls für Synthesefaserliner, da das eingesetzte Trägermaterial über keine Verstärkungswirkung verfügt und sich somit Definitionen nicht-verstärkender Schichten erübrigen.
Der Blick in den aktuellen Ausgabestand von 2021 hingegen bringt eine geänderte Definition, nun für die „mittlere Dicke des Komposits“ ec,m, mit sich:
„Harzreiche Schichten, einschließlich jeglicher Verschleißschicht, die bewusst ein Teil des Wandaufbaus des vor Ort gehärteten Schlauch-Liners sind, dürfen nicht rechnerisch von der Dicke des Komposits abgezogen oder vor der Prüfung abgeschliffen werden.“ (DIN EN ISO 11296-4:2021, B.4.1)
Diese Änderung hat zur Folge, dass harzreiche Schichten in die Kompositwanddicke ec,m (vgl. Abbildung 2) und somit in dritter Potenz in den Biegemodul eingehen. Aufgrund der Tatsache, dass diese Schichten gegenüber dem glasfaserverstärkten Komposit deutlich geringere mechanische Eigenschaften besitzen, tragen sie weniger zur Gesamttragfähigkeit des Verbundwerkstoffes bei.
Eine „konstante Minderung“ der mechanischen Eigenschaften, bedingt durch diese Definition, wäre leicht verkraftbar, da die Produktqualität und deren hohe Leistungsfähigkeit durch die rechnerische Anpassung natürlich unverändert bleiben. Problematisch ist jedoch, dass die harzreichen Schichten in aller Regel konstante Dicken aufweisen, der glasfaserverstärkte Verbund hingegen hängt eindeutig von der aus statischen Berechnungen resultierenden Dicke ab. Somit ergibt sich ein kleinerer oder größerer Anteil harzreicher Schichten an der Gesamtwanddicke.
Die Umrechnung des Biegemoduls von Verbund- auf Kompositdicke kann mittels Gl. 2 durchgeführt werden und resultiert in Abbildung 3, welche beispielhaft die Veränderung eines normierten Biegemoduls mit zunehmendem Anteil harzreicher Schichten (RHS) darstellt. Hier wird der Einfluss harzreicher Schichten in Abhängigkeit der Kompositwanddicke ec,m offensichtlich.

Biegemodul unter Anwendung des Korrekturfaktors CE
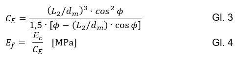
Im weiteren Verlauf des Anhang B der DIN EN ISO 11296-4:2021 haben die Autoren Korrekturfaktoren eingeführt. Diese dienen der Umrechnung des scheinbaren Biegemoduls Ec gekrümmter Probekörper in den korrigierten Biegemodul Ef für gleichwertige flache Probekörper.

Gl. 3 zeigt die Abhängigkeit des Korrekturfaktors CE hauptsächlich vom Durchmesser dm und etwas versteckt von der Kompositwanddicke ec,m (in L2 enthalten). Die Anwendung von CE auf den (normierten) Biegemodul Ec, unter Variation von Durchmesser und Kompositwanddicke, resultiert in Abbildung 4. Diese zeigt, insbesondere bei geringen Durchmessern oder hohen Wanddicken, den großen Einfluss der Korrektur.

Zusammenfassung und Fazit
Bei der qualitätssichernden Überprüfung der vor Ort stattfindenden Aushärtung ist die Ermittlung der Biegeeigenschaften von Schlauchlinerproben seit mehr als zwei Jahrzehnten als etabliert anzuerkennen. Der Abgleich zwischen Ist- und Sollwert gibt Auskunft über hinreichende Materialeigenschaften und somit nicht zuletzt über die Validität der Langzeiteigenschaften.
Trotz Revision der aktuell anzuwendenden Prüf- und Produktnorm DIN EN ISO 11296-4 bereits im Jahr 2018 bzw. ergänzend im Jahr 2021 halten sich Biegekennwerte, ermittelt nach Ausgabestand 2011 und unter Berücksichtigung der Verbunddicke em, wacker in deutschen bauaufsichtlichen Zulassungen. Nichtsdestotrotz wird der aktuelle Normenstand nach Einzug in nationale Zulassungen wie auch internationale Konformitätsbewertungen (z.B. DIN CEN ISO/TS 23818-2) erhalten.
Ungelöst ist bis dato jedoch die Frage, wie mit produktspezifischen Sollwerten umgegangen wird. Die Linearität, wie sie bisher Gang und Gäbe war, wird durch die (neue) Definition der Kompositwanddicke ec,m (vgl. Abbildung 3) sowie die Einführung des Korrekturfaktors CE (vgl. Abbildung 4) außer Kraft gesetzt. Kleiner Wermutstropfen an dieser Stelle: Die Anwendung der Korrekturfaktoren wurde bereits international als fehlerbehaftet anerkannt und findet bereits in nationalen Zulassungen keine Anwendung mehr.
Rohrpost abonnieren!
Wir graben für Sie nach Neuigkeiten. Die Ergebnisse gibt es bei uns im Newsletter.
Jetzt anmelden!


Der Vollständigkeit halber sei an dieser Stelle erwähnt, dass sich gleicher Gedankengang für die Biegefestigkeit durchspielen lässt. Kleiner Unterschied: Abhängigkeit von der Wanddicke nur in zweiter Potenz und andere Berechnung des Korrekturfaktors Cσ.
Nicht nur Prüflabore, ebenso Auftraggeber oder Ingenieurbüros, aber auch zulassende Stellen stehen kurzfristig vor der Mammutaufgabe, im „Normen-Wirrwarr“ den Überblick zu behalten. Aber auch herstellende Unternehmen müssen sich die Frage stellen, ob es ausreicht, bekannte Sollwerte aus vielleicht veralteten Typprüfungen lediglich umzurechnen (vgl. Gl. 2) oder aber reale Ergebnisse aus aktuellen Projekten zu generieren.
Abschließend ist zu resümieren, dass die Berechnungsgrundlagen zwar veränderte und auch geringere Kennwerte als die bisher bekannten mit sich bringen, die hohe Qualität des Produktes Schlauchliner aber nicht berühren. Im gleichen Atemzug ist es wichtig zu verstehen, dass die Ermittlung der Biegeeigenschaften an Baustellenproben rein qualitätssichernden Charakter aufweist. Der Soll-Ist-Vergleich hat daher absolut keine Abhängigkeit von der „Höhe“ der Kennwerte, sondern rein von der korrekten und vergleichbaren Prüfung eines Produktes. Gerade durch die aufgezeigten Veränderungen ist es wichtiger denn je, eindeutige Angaben in Sachen Normenstand und Kennwerte, zu machen.

Weiterlesen:
Neueste Beiträge:
Meistgelesene Artikel
Jetzt Ausschreibungen finden
Wählen Sie eine Leistungsart, die Sie interessiert.


Bau


Dienstleistung


Lieferung
Verwandte Bau-Stichworte:
Top Bau-Stichworte:
Aktuelle Termine für unterirdische Infrastruktur
Jetzt zum Newsletter anmelden:
Leitungsbau, Kanalsanierung, Abwasser – erfahren Sie das wichtigste rund ums Thema unterirdische Infrastruktur.









