Konstanz auf hohem Niveau
Die anhaltende Baukrise im Hochbau und insbesondere im Wohnungsbau macht Bauträgern, Baufirmen und Ingenieurbüros gleichermaßen zu schaffen. Im bisher nicht betroffenen Tiefbau war zuletzt die Verunsicherung aus dem bevorstehenden Regierungswechsel und möglichen Konsequenzen für Investitionen, Förderung und Mittelfreigabe spürbar. Die Kanalsanierung allerdings zeigt sich nach wie vor unbeeindruckt von diesen Randbedingungen.


Schmies.eu Vakuumsaugfässer im Anhängerformat
Vakuumsaugfässer von Schmies.eu: robust, flexibel und - auf Wunsch - auch in kippbarer Ausführung. Die clevere Alternative zum Großfahrzeug.
Im Ergebnis des vom Verband zertifizierter Sanierungsberater für Entwässerungssystem e.V. (VSB) erhobenen Stimmungsbarometers Kanalsanierung kann nach wie vorher eine konstante und vielfach sogar positive Entwicklung festgestellt und prognostiziert werden. Teilweise fällt das Ergebnis sogar besser aus als im Vorjahr.

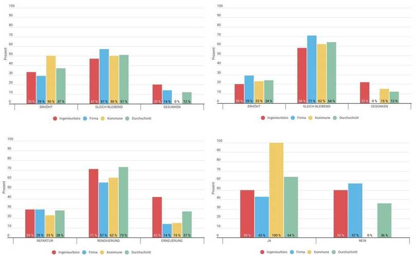
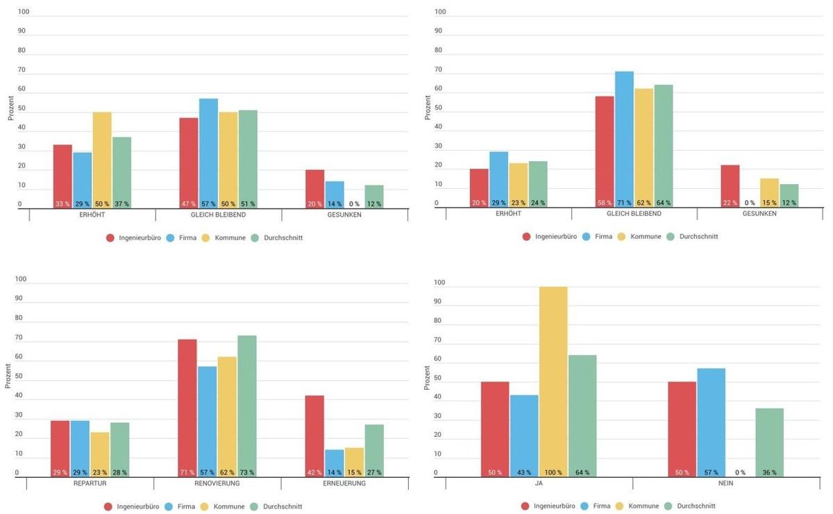
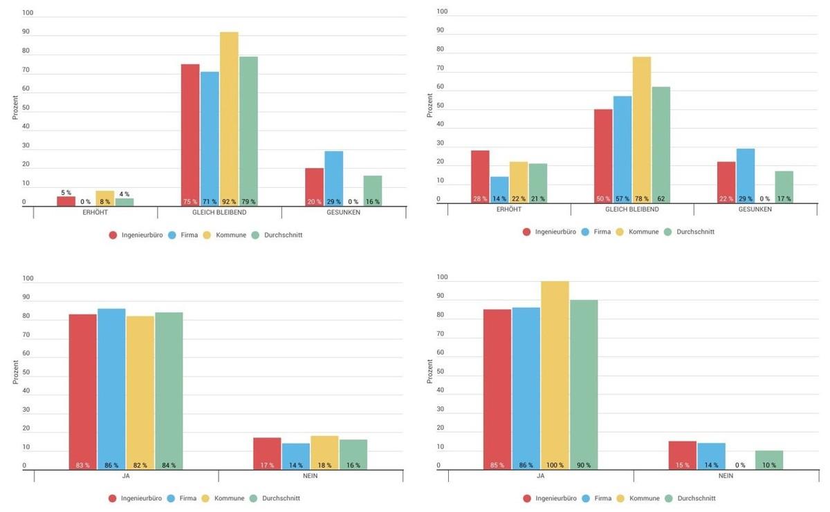
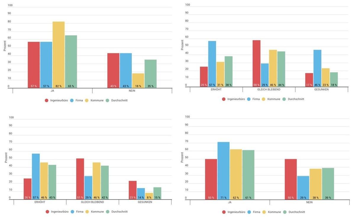
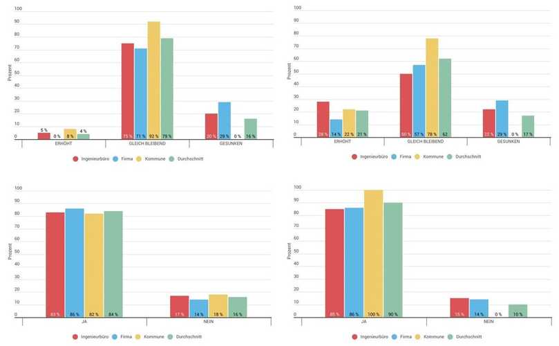
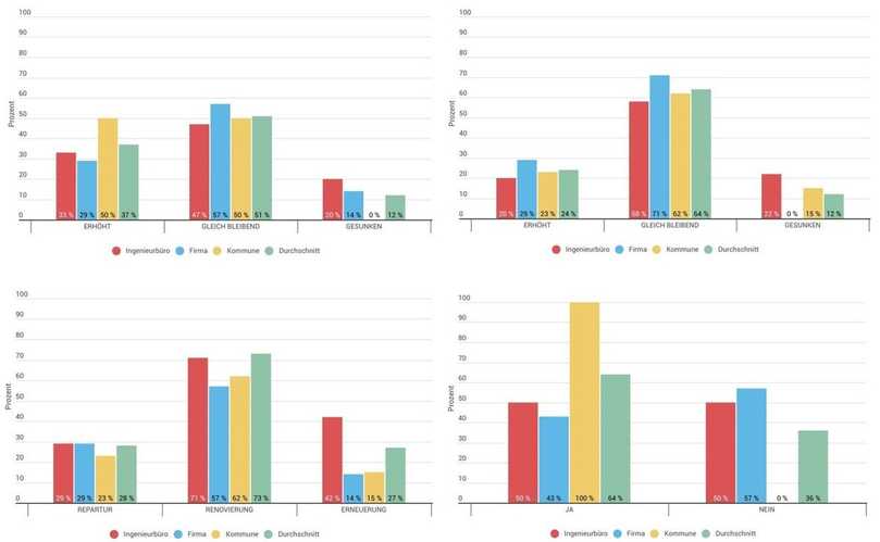
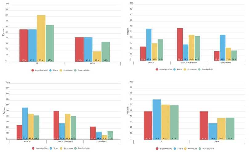
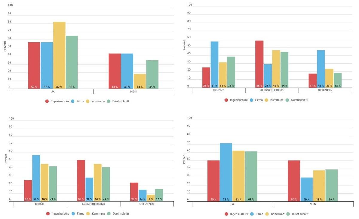
So beurteilt der überwiegende Anteil der befragten Ingenieurbüros, Sanierungsfirmen und Netzbetreiber den Auftragseingang bzw. die Investitionen konstant oder steigend. Entsprechend sind bei einem Drittel der Befragten der Auftragsbestand bzw. die Vergaben angestiegen und bei nur sehr wenigen Ingenieurbüros und Sanierungsfirmen gesunken. Der Personalbestand stellt sich nach wie vor weitestgehend konstant dar. Bei den Sanierungsarten dominiert wieder die Renovierung; Reparatur und Erneuerung folgen zu gleichen Teilen mit deutlichem Abstand.

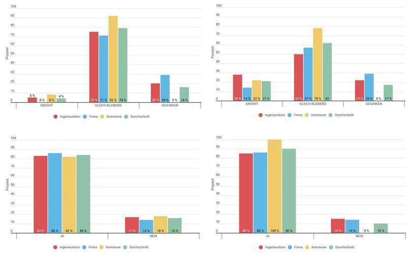
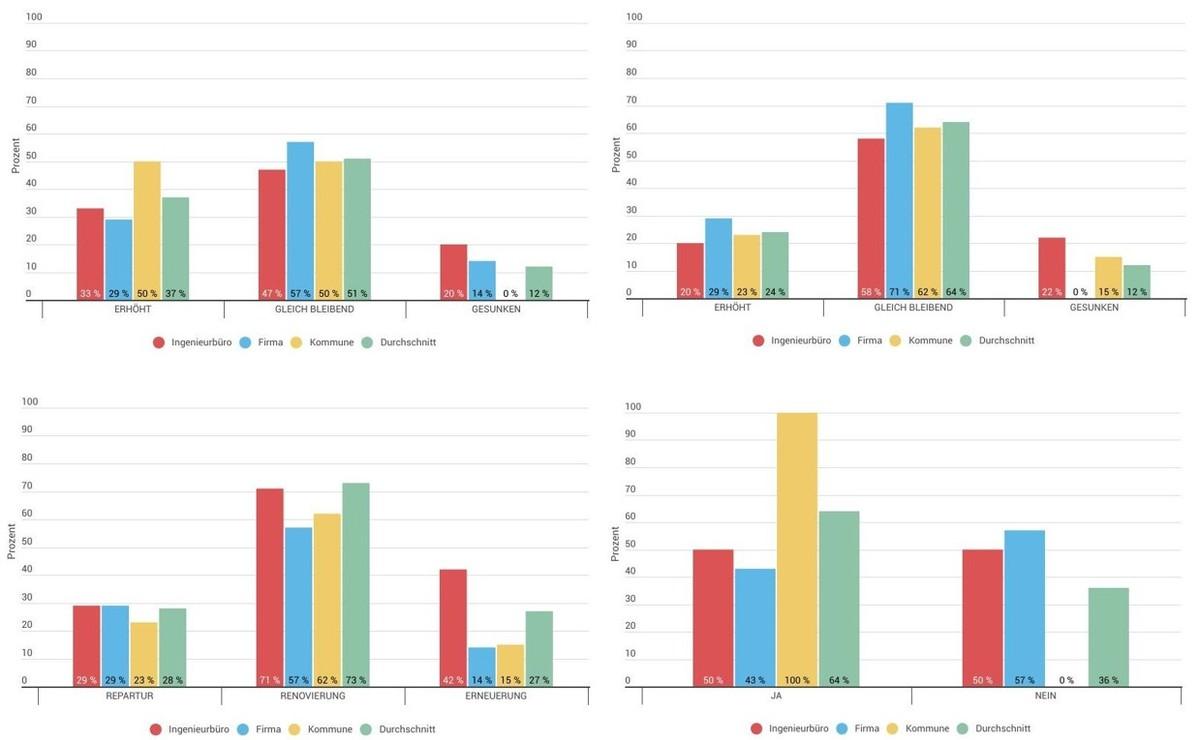
Die Vergütung wird von allen beteiligten Auftraggebern als auskömmlich angesehen. Hier zeigt sich wie schon in den Vorjahren ein deutlicher Unterschied zu den Auftragnehmern: Bei den Sanierungsfirmen und Ingenieurbüros sieht nur die Hälfte der Befragten die Vergütung als auskömmlich an. Einig sind sich dagegen Auftraggeber und Auftragnehmer bei der Beurteilung der Entwicklung der Vergütung: Diese wird übereinstimmend als gleichbleibend eingeschätzt. Ähnlich fällt die Beurteilung bei der Entwicklung des Gewinns aus, hier ist lediglich die Streuung der Antworten in Richtung Erhöhung oder Verringerung etwas größer.
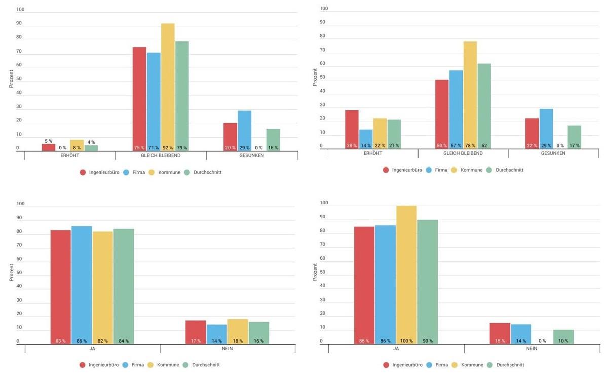
Unverändert hoch ist die Auslastung in der Kanalsanierung. Sie ist gegenüber dem Vorjahr sogar noch gestiegen. Inzwischen vermelden mehr als 80% der Befragten eine Vollauslastung. In gleicher Größenordnung werden Kapazitätsprobleme vermeldet, sodass es nicht überrascht, dass die Mehrheit der Ingenieurbüros, Firmen und Kanalnetzbetreiber die Mitarbeiter als begrenzende Größe für den Umsatz ansehen.

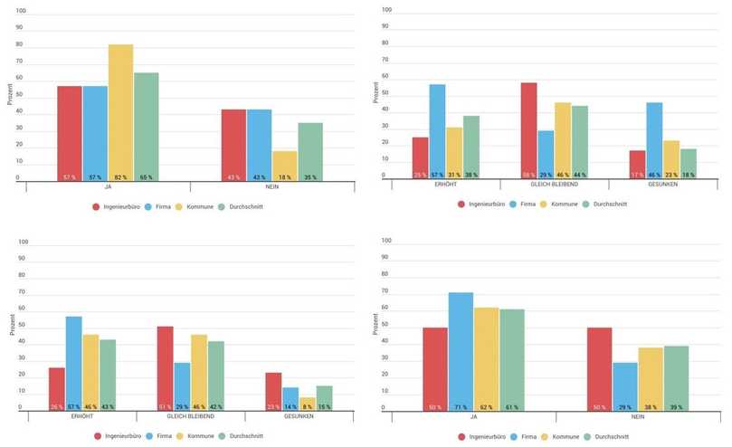
Die Antworten hinsichtlich der erwarteten Umsatzsteigerung sind durchwachsen. Zu ähnlichen Teilen werden gleichbleibende, erhöhte oder sinkende Umsätze bzw. Ausgaben prognostiziert. Deutlich progressiv fällt die Antwort bezüglich der zukünftigen Gewinn- und Preisentwicklung aus. Hier erwartet eine deutliche Mehrheit der Befragten steigende Preise und Gewinne. Kapazitätsprobleme werden für die Zukunft in gleicher Größenordnung wie für die Vergangenheit prognostiziert.
Rohrpost abonnieren!
Wir graben für Sie nach Neuigkeiten. Die Ergebnisse gibt es bei uns im Newsletter.
Jetzt anmelden!


Insgesamt zeigt sich ein positiv stabiles Bild der Marktsituation in der Kanalsanierung. Dies macht Mut für die weitere Entwicklung und die nachhaltige Umsetzung einer generationengerechten Bestandserhaltung unserer Kanalisation.

Quelle: VSB
Weiterlesen:
Neueste Beiträge:
Meistgelesene Artikel
Jetzt Ausschreibungen finden
Wählen Sie eine Leistungsart, die Sie interessiert.


Bau


Dienstleistung


Lieferung
Verwandte Bau-Stichworte:
Top Bau-Stichworte:
Jetzt zum Newsletter anmelden:
Leitungsbau, Kanalsanierung, Abwasser – erfahren Sie das wichtigste rund ums Thema unterirdische Infrastruktur.











